Hexamethy lenediaminetetra(methy lenephosphonic acid) ,Potassium salt
【CAS】 38820-59-6(X-6) 53473-28-2(6-K)
别名:己二胺四亚甲基膦酸钾盐 Dequet 2054
分子式:C10H22N2O12P4K6相对分子质量:721
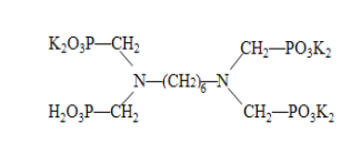
结构式:
一、产品性能
HMDTMPA·K6具有很高的溶解度,可阻止水中成垢盐类形成水垢,是良好的硫酸钙阻垢剂,尤其适用高碱高PH值条件。HMDTMPA·K6特别适应于锅炉水处理、反渗透膜的处理。
二、质量指标
|
项 目 |
指 标 |
|
外 观 |
无色至微黄色透明液体 |
|
活性组分(以酸计)% ≥ |
21.2 |
|
活性组分(以盐计)% |
31.0-36.0 |
|
总磷(以PO43-计)% ≥ |
16.8 |
|
氯化物(以Cl-计) % ≤ |
4.0 |
|
铁(以Fe计) ppm ≤ |
35.0 |
|
PH值(1%水溶液) |
6.0-8.0 |
|
密度(20℃) g/cm3≥ |
1.21-1.31 |
三、包装与储存
HMDTMPA·K6塑料桶包装,每桶30Kg或250Kg,也可根据用户需要确定。贮于室内阴凉处,贮存期十个月。
录入时间:2021/3/6 15:54:57 点击次数:716